First Phase of Grid-Bridging System Complete
ACEP researchers have concluded phase 1 of the development of a high time-resolution tool for the right-sizing of grid-bridging systems, dubbed MiGRIDS (Micro Grid Renewable Integration Dispatch and Sizing). The tool is available for download on the ACEP GitHub page: https://github.com/acep-uaf/MiGRIDS
Grid-bridging systems, which use small-energy-capacity, high-power-capacity energy storage, allow more efficient operation of a diesel fleet that receives renewable energy via a hybrid-diesel grid.
In this first phase, ACEP's Jeremy Vandermeer and Tawna Morgan collaborated with Denamics' Marc Mueller-Stoffels on development and testing of the Python-based software tool.
A code review of the core model functions was performed by Adaptive Balancing Power's
Hendrik Schaede and Richard Barkoczy.
In following steps, ACEP and collaborators from the Alaska Village Electric Cooperative, Denamics and Sandia National Laboratories will use MiGRIDS to determine the right grid-bridging systems for wind-diesel grids.
They’ll also employ it for conceptual studies conceptual studies of using grid-bridging
systems with small hybrid-diesel power systems.
The work in phase 1 of this project was funded through a grant from the Office of Naval Research to the Alaska Center for Energy and Power.
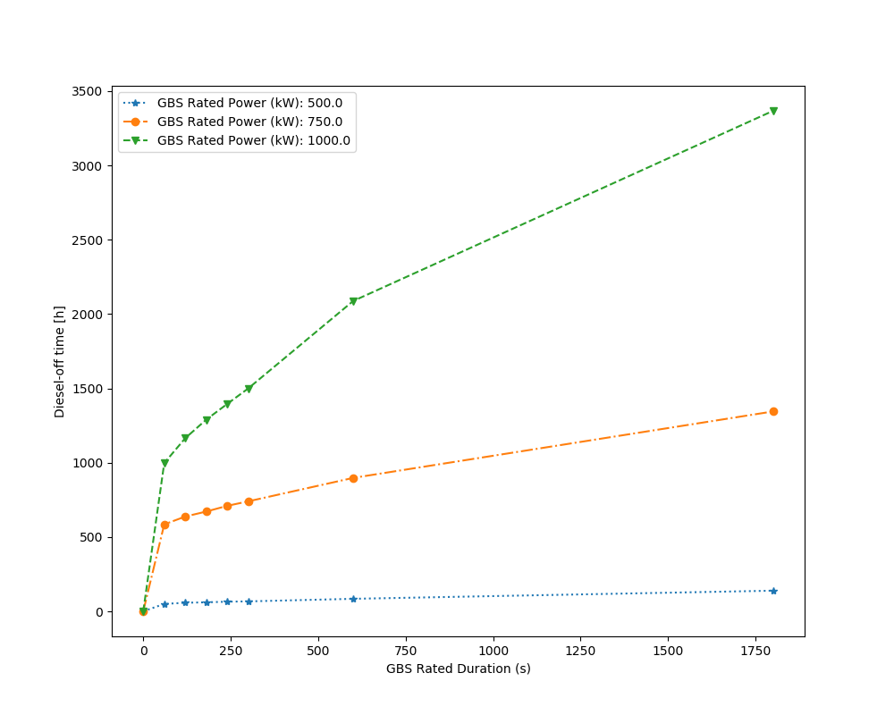
An example of the results of simulations that show the amount of renewable energy used in a diesel-, wind- and hydrokinetic-powered microgrid for different sizes of electrical energy storage systems. Image created by Jeremy Vandermeer.

